bevictor伟德官网·(中国)唯一官方网站
Home
About Us
≡
Chairman's Address
Overview
Milestones
Guobang Culture
Honors
Group members
Products
≡
Pharmaceutical
Dynamic protection
Innovate
≡
Research Platform
Technological Cooperation
Research Outcomes
Development
≡
Green Development
Group Investment
Responsibility
≡
Philanthropy
Safe production
Join Guobang
≡
Employee Philosophy
Salary and Benefits
Jobs
Contact
≡
中文
About Us
Chairman's Address
Overview
Milestones
Guobang Culture
Honors
Group members
Products
Pharmaceutical
Dynamic protection
Innovate
Research Platform
Technological Cooperation
Research Outcomes
Development
Green Development
Group Investment
Responsibility
Philanthropy
Safe production
Join Guobang
Employee Philosophy
Salary and Benefits
Jobs
Contact Us
CN
Current position:Products
Pharmaceutical
Dynamic protection
guobang
Products
Establish business, develop a country
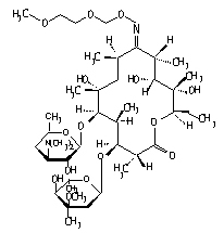
Roxithromycin
English Name:Roxithromycin
CAS NO.:80214-83-1
Molecular formula:C
41
H
76
N
2
O
15
【
Back
】
Related products
Name
View details
Azithromycin
View details
Clarithromycin
View details
Total 2 Records
Page